Capítulo 17 O pacote ggplot2
O ggplot2 é um dos pacotes mais populares do R para criar gráficos.
Ele implementa o conceito de Grammar of Graphics, que oferece uma
maneira sistemática de descrever e construir gráficos. Este conceito
está apresentado no livro The Grammar of
graphics.
17.1 A Gramática dos Gráficos
O ggplot2 baseia-se na ideia de que um gráfico pode ser decomposto nos seguintes componentes:
Dados: o conjunto de dados que será visualizado.
Aes (aesthetics): os mapeamentos estéticos, como
x,y,color,size, etc.Geoms (geometrias): o tipo de gráfico, como pontos (
geom_point()), linhas (geom_line()), barras (geom_bar()), etc.Scales: definem como os dados são convertidos em estética.
Facets: permitem dividir o gráfico em subgráficos.
Themes: controlam a aparência geral.
17.2 Exercícios
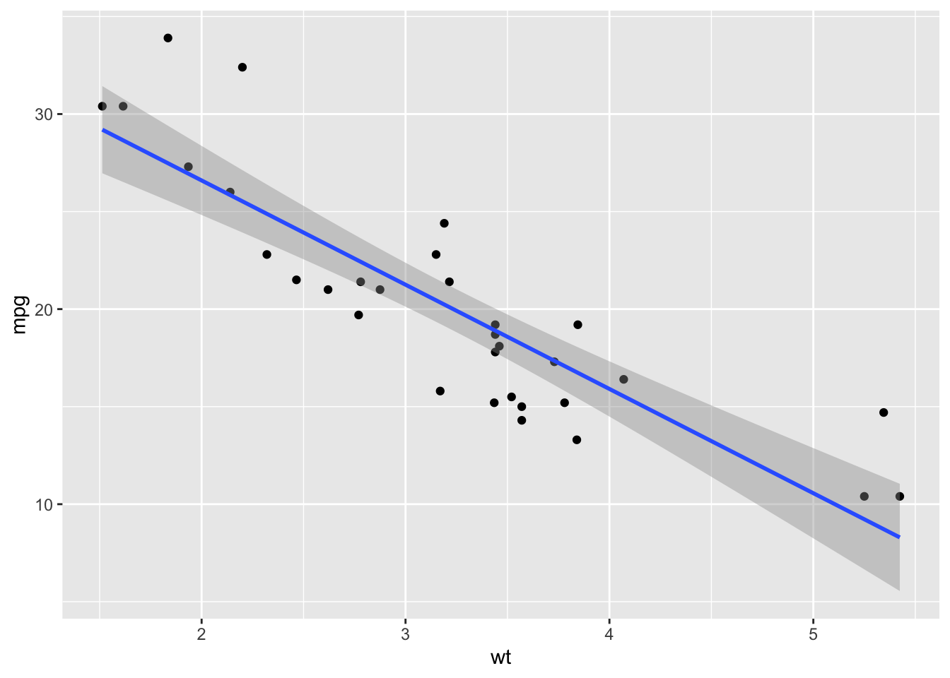
Com o dataset
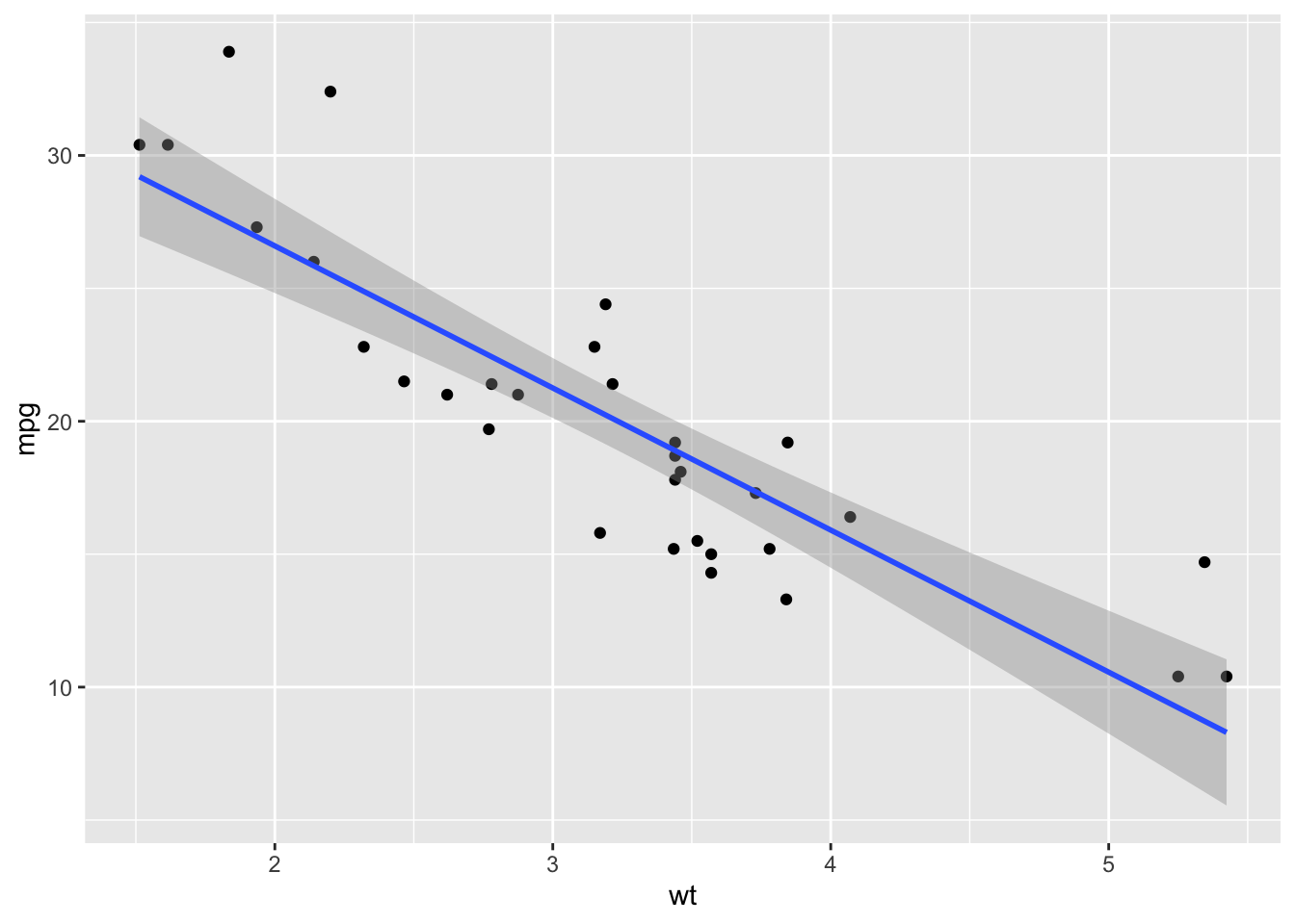
mtcars, faça um gráfico de dispersão entrewtempg, colorindo os pontos pela variávelcyl.Com o dataset
mtcars, crie um gráfico de dispersão entrempgehp, colorindo os pontos porcyle ajustando a forma (shape) poram.Com o dataset
mpg, faça um gráfico de barras da variáveldrve mude a cor das barras manualmente comfill.Usando o dataset
diamonds, produza um gráfico de barras para a variávelcut, preenchendo (fill) pelas categorias declarity. Useposition = "fill"para comparar proporções relativas.Com mpg, desenhe um histograma da variável
hwycom densidade sobreposta usandogeom_density(). Explore o argumentoalphapara transparência.Produza um boxplot de
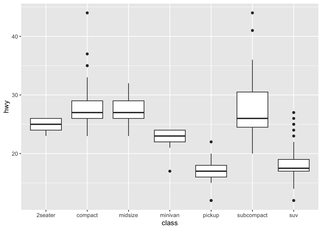
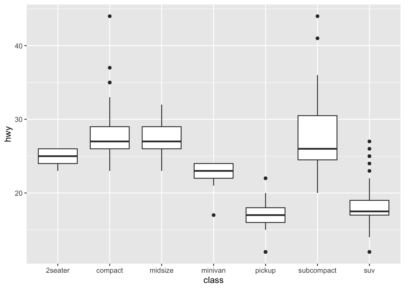
hwypormanufacturer, ordenando os fabricantes pela média dehwy.Crie boxplots de
Sepal.Lengthpor espécie no datasetiris. Sobreponha pontos representando a média de cada grupo usandostat_summary().Crie um gráfico com
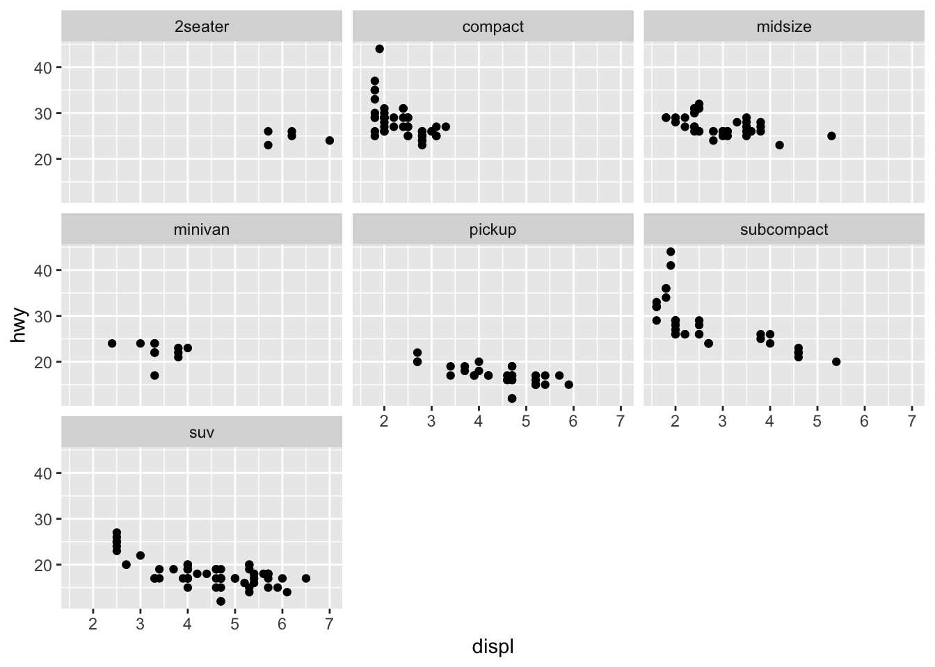
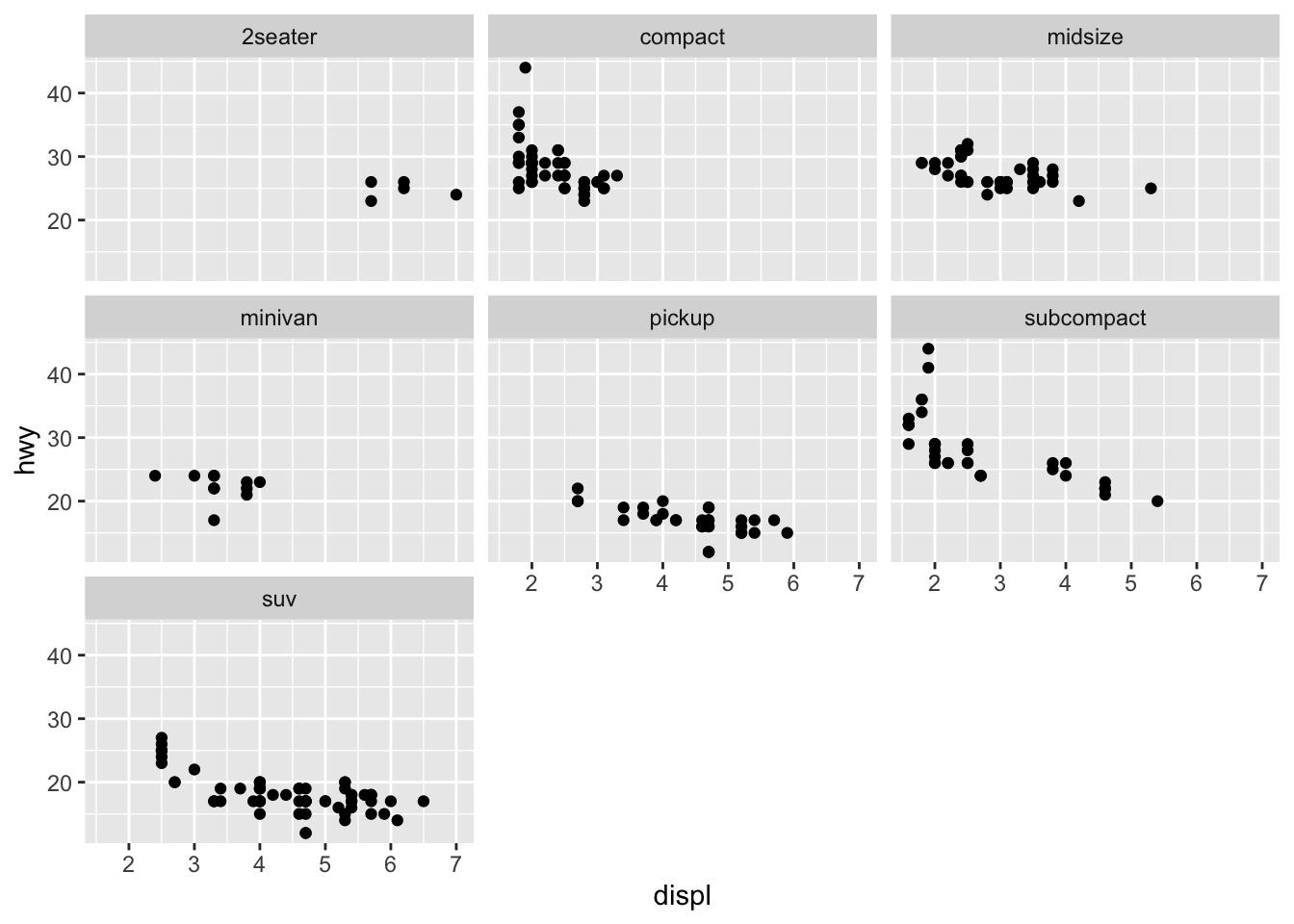
geom_smooth()ajustando uma curvaLOESSpara os dadosdisplvshwydompg, separando pordrvcomfacet_grid().Exporte um dos seus gráficos para um ficheiro .png com
ggsave("grafico.png").Escolha um conjunto de dados próprio (ou um tibble pequeno) e crie uma visualização que combine pelo menos dois tipos de
geomdiferentes.






